Chapter-2|Electrostatic Potential and Capacitance| NCERT 12th Physics:
Electrostatic Potential Due to a Point Charge:
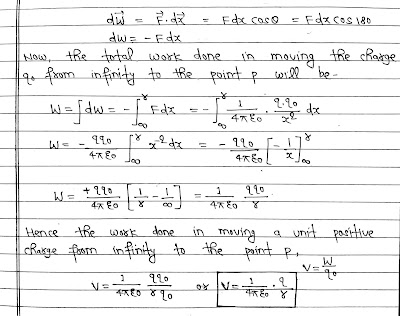
Let a positive charge q is placed at the origin O. We wish to calculate its electric potential at a point P at distance r from it. Since, the electric potential at point P will be equal to the amount of work done in bringing a unit positive charge from infinity to the point P.
Let a test charge q₀ is placed at a point A at a distance x from O.
From above v ∝ 1/r. Thus the electric potential due to a point charge is spherically symmetric as it depends only on the distance of the observation point from the charge and not on the direction of that point with respect to the point charge. And also we note that the potential at Infinity is zero.



