Chapter-4|Moving Charges and Magnetism| NCERT 12th Physics:
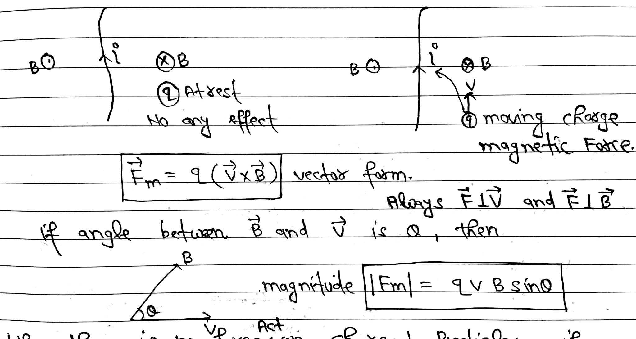
Force on a Moving Charge in a Uniform Magnetic Field:
There is no Force Act on Charged Particle:
Direction of Magnetic Force:
By following method we can find the direction of magnetic force.
Note: (I) Firstly put your thumb, fore finger and middle finger perpendicular to each other.
(II) Put your fore finger in the direction of magnetic field(B) and middle finger in the direction of current or voltage(I or V).
(III) Now, where the direction of thumb indicate that is the direction of magnetic force.
Examples:
Note: If charge is negative, then after implementing the rule we will take the direction of magnetic force in opposite direction(from actual direction).
Right Hand Palm Rule:
(I) Put your thumb in the direction of current or voltage.
(II) Put your fingers in the direction of magnetic field.
(III) Now, where your palm push that is the direction of magnetic force.
Examples: Same as above.




