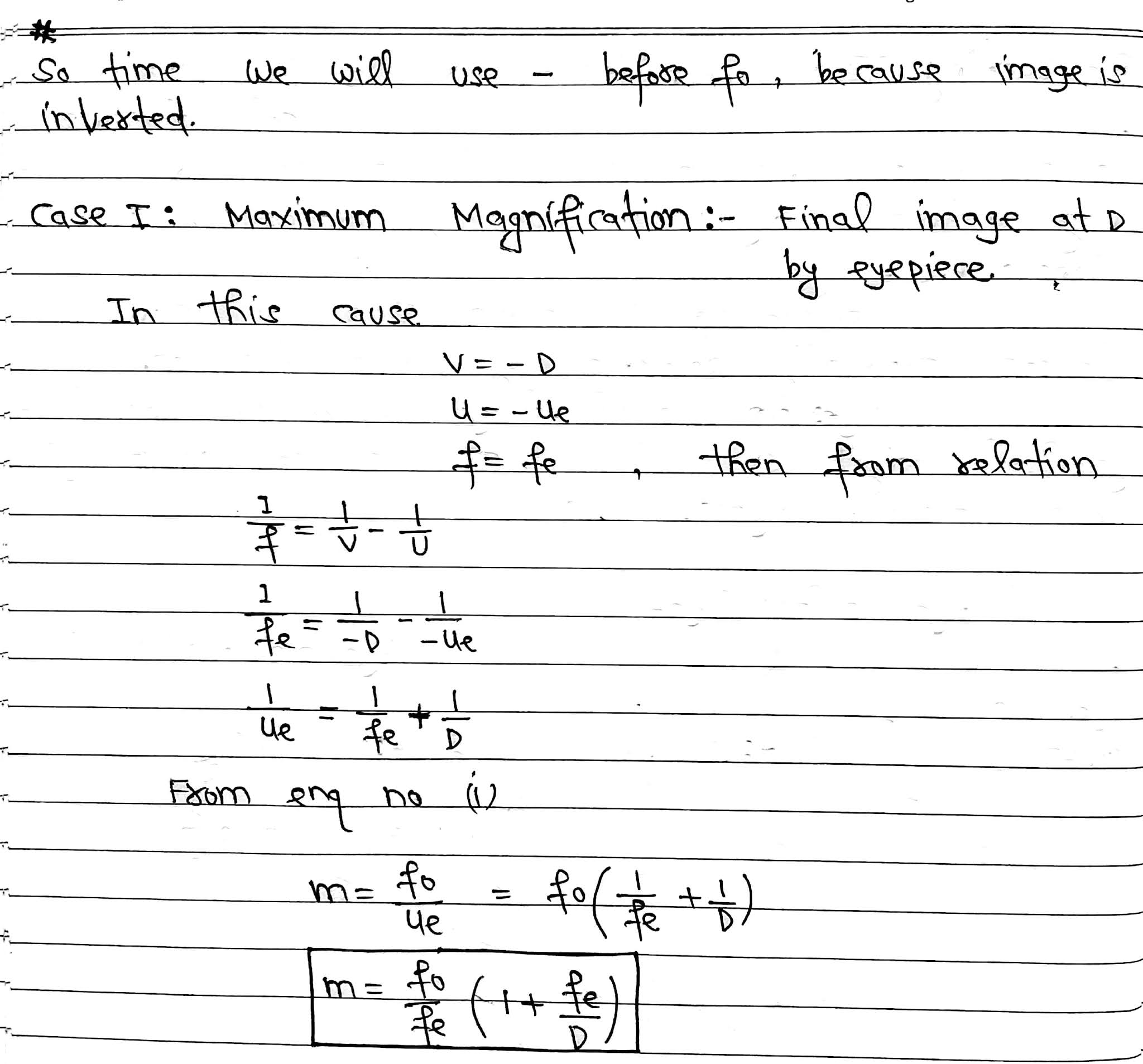
Chapter-9|Ray Optics and Optical Instrument|NCERT 12th Physics:
Refracting Telescope(Astronomical Telescope):
An astronomical telescope is an optical instrument which is used for observing distinct image of heavenly bodies like star, planets etc.
Refracting telescope has two convex lenses coaxially separated by some distance.
Objective is of large aperture and large focal length so that it can collect more light from distant object.
Note: Telescope inlike microscope do not magnify the size of object instead it bring the object closer to the eyes, so that it can be viewed better.




