Chapter-7|Alternating Current |NCERT 12th Physics:
Root Mean Square(RMS) Value of AC:
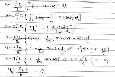
It is defined as the value of AC over a complete cycle which would generate same amount of heat in a given register that is generated by steady(DC) current in the same register and in the same time during a complete cycle.
Derivation: We know that heat generated by current
H= I²Rdt
Let dH be the small amount of heat in small time dt, then
Let Irms be the value of DC which would generate same amount of heat




