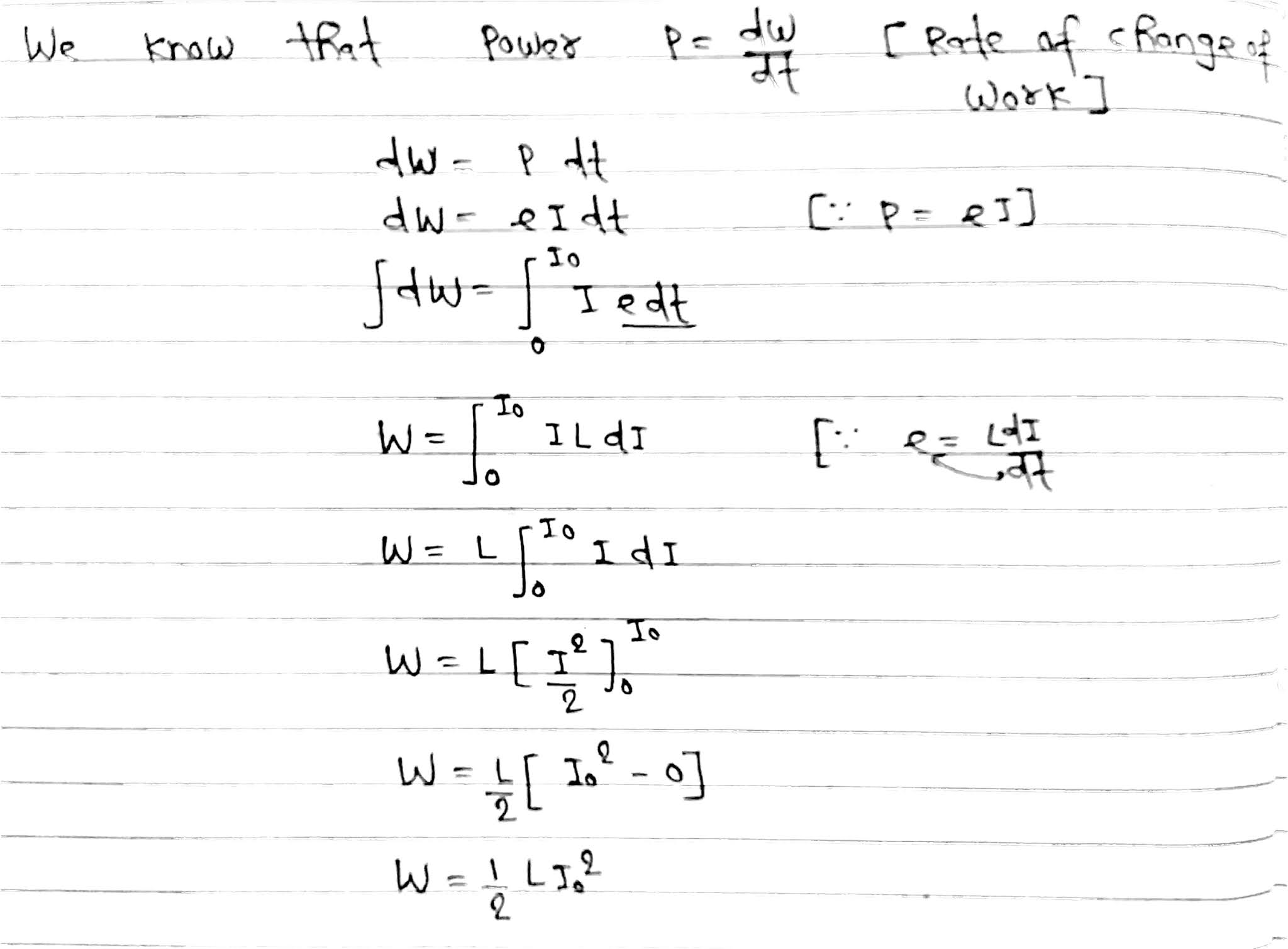
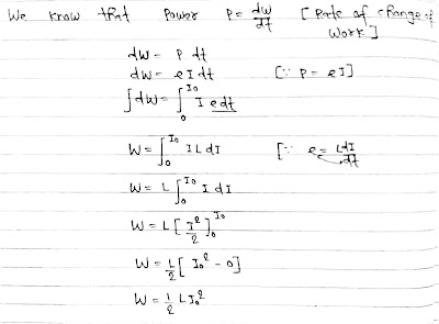
Energy Stored in an Inductor

Chapter-7|Alternating Current |NCERT 12th Physics:

Energy Stored in an Inductor:

When in inductor(L), current(I) is applied, the magnetic flux will be developed.


ygaUa1fVHeUCaaJ9575bBYUW
E2E2RE7FJE9X615t2Ldy7hYf

Scroll to Top