Chapter-7|Alternating Current |NCERT 12th Physics:
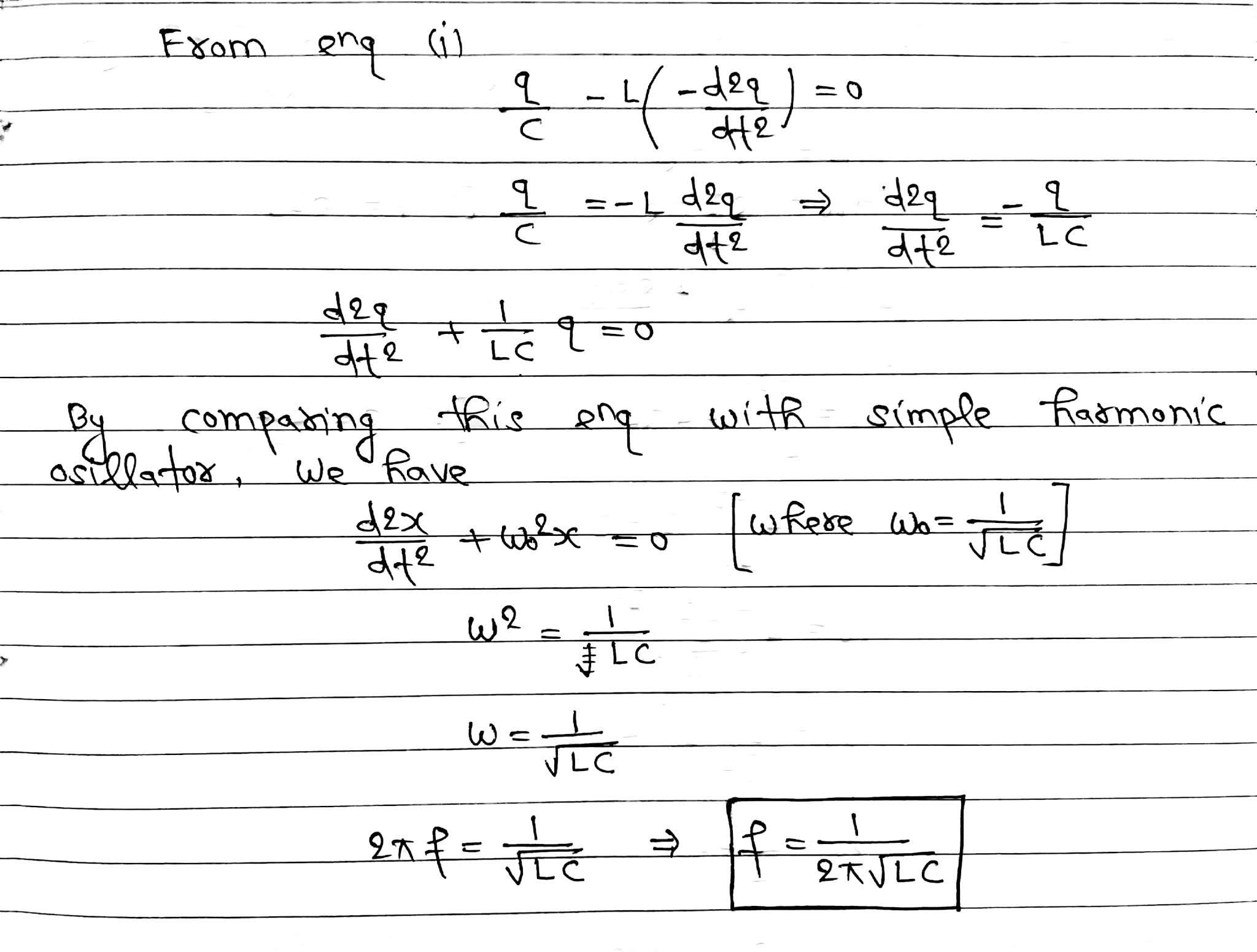
L-C Oscillations:
When a capacitor is supplied with AC current, it gets charged
When this charged capacitor is connected with an inductor, current flows through inductor, giving rise to magnetic flux. Hence, induced EMF is produced in this circuit. Due to this, the charge of the capacitor decreases and an equivalent amount of energy is stored in the inductor in the form of magnetic field. When the discharging of the capacitor completes, current and magnetic flux linked with L starts decreasing.
Therefore, an induced EMF is produced which recharges the capacitor in the opposite direction. This process of charging and discharging of capacitor is repeated and energy taken once from source keeps on oscillating between C and L.



