Chapter-4|Moving Charges and Magnetism| NCERT 12th Physics:
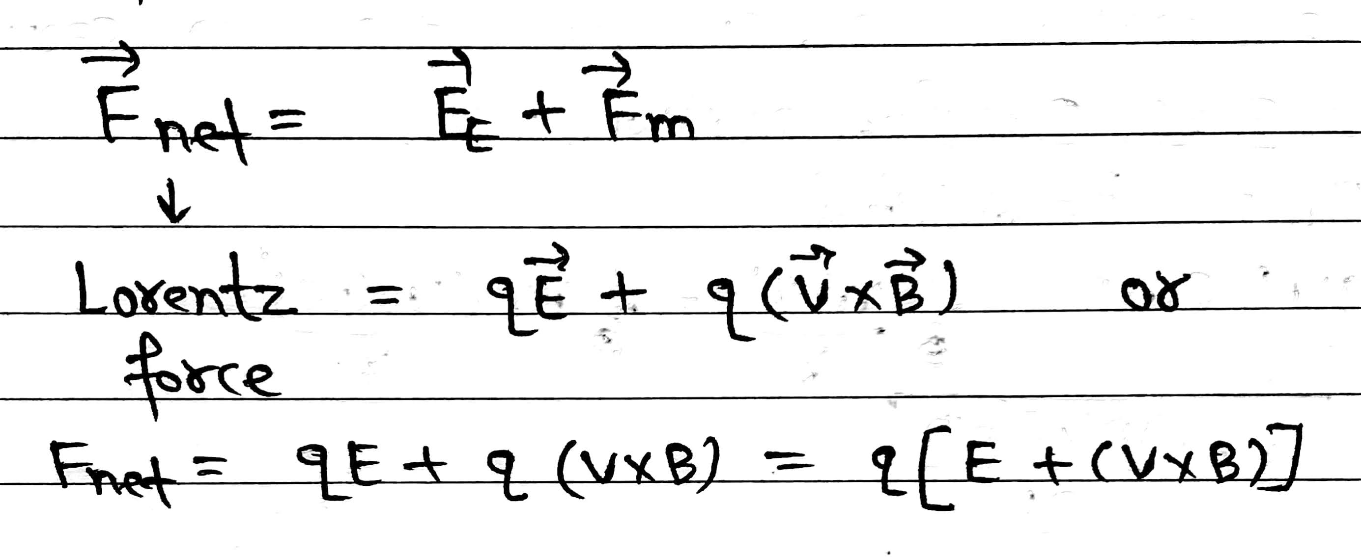
Force on a Moving Charge in a Uniform Magnetic and Electric Field (Lorentz Force):
When we combine these two forces then we find Lorentz Force,
- If we adjust the value of E and B such that magnitude of two forces are equal and opposite in direction then total force on charge is zero and the charge will move in the field undeflected. This happen, when



