Chapter-9|Ray Optics and Optical Instrument|NCERT 12th Physics:
Refraction at a Spherical Surface:
We will consider two transparent medium of refractive index n₁ and n₂, the boundary between two surfaces is a spherical surface of radius R.
Assumptions:
1. All the rays are paraxial, that means P and P’ are coincide.
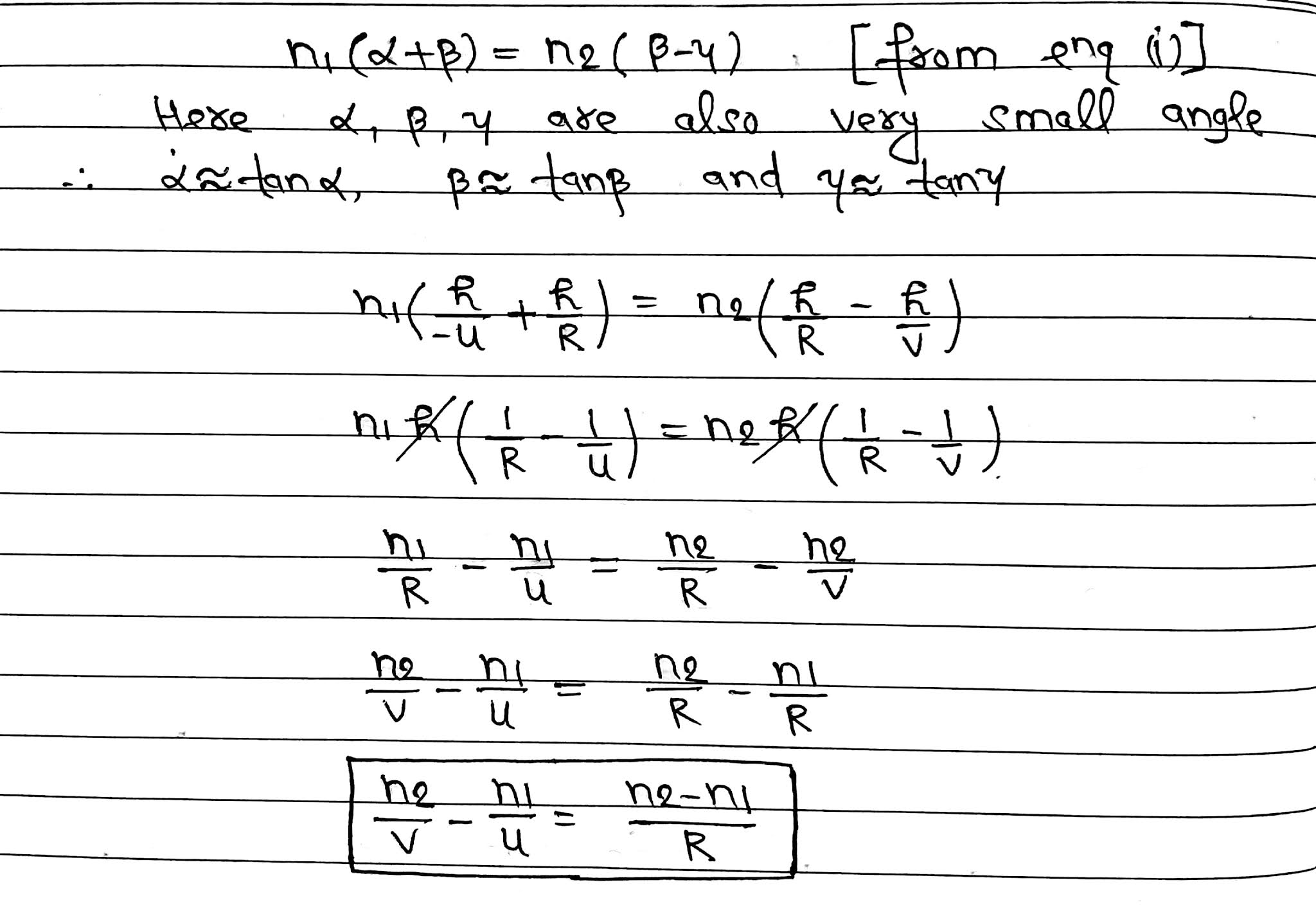
2. θ₁ and θ₂ are very small angle.
3. α, β and γ are also very very small angle.
Note: n₁ is refractive index Jis medium se ray aa rahi hai.
n₂ is refractive index jis medium me ray aa rahi hai.



