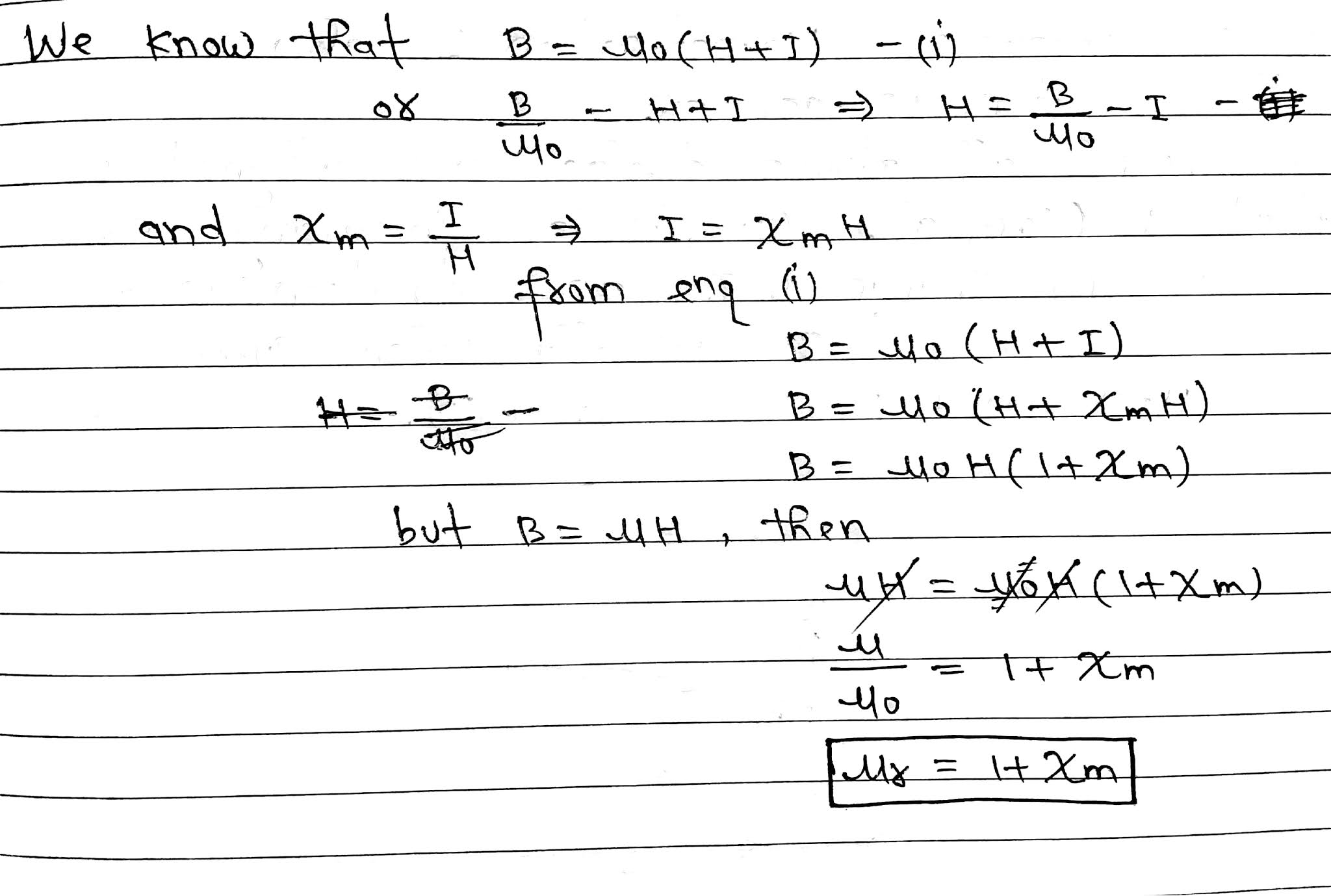
Relation Between Relative Magnetic Permeability and Magnetic SusceptibilityBy Manoj Pandey / 27/01/2021 Relation Between Relative Magnetic Permeability and Magnetic Susceptibility: Related