Chapter-7|Alternating Current |NCERT 12th Physics:
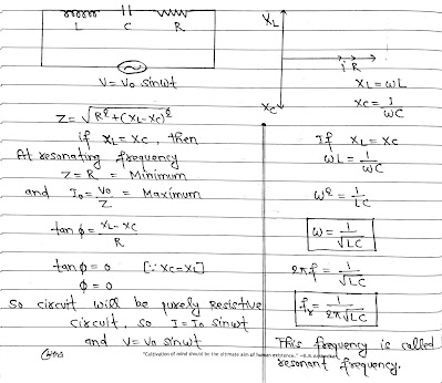
Resonance in L-C-R Circuit:
In LCR circuit, when phase(Ø) between current and voltage is zero, the circuit is said to be resonant circuit.
Power in AC Circuit:
We know that, V= V₀Sinωt applied to a series LCR circuit drives a current in the circuit.



